skip to main (ir a principal)
|
skip to sidebar (ir al sidebar)
Top Links Menu
+234-708-032-1674
Nairafameonline@gmail.com
Address
Top Links Menu
Instagram
YouTube
Facebook
X
Logo
Logo Image. Ideal width 300px.
Main Menu
Home
LEARN WITH NAIRAFAME
MATHEMATICS
-A Refreshing Revision of Standard Form
-INDICES
-WAEC MATHEMATICS PAST QUESTIONS
--WAEC 2025
Home
calculus
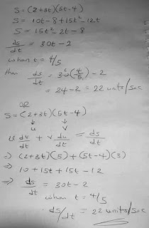
If S = (2+3t)(5t-4). Find ds/dt when t=4/5 seconds.
If S = (2+3t)(5t-4). Find ds/dt when t=4/5 seconds.
By
Nairafame
calculus
·
Education
·
MATHEMATICS
Solution
No comments:
Post a Comment
Newer Post
Older Post
Home
SEARCH
FOLLOW ME
* We promise that we don't spam !
Popular
WAEC 2025 Mathematics Objective Answers: Step-by-Step Solutions
WAEC 2025 Maths Objective Solutions WAEC 2025 Maths Solutions: Step-by-Step Explanations ...
Mathematics 2024 WAEC Objective Questions and Solutions.
Prepare for WASSCE with Solved Questions! Are you getting ready for the Mathematics WAEC exams? We've got you covered! 🎓 To help ...
The Official WAEC 2025 Mathematics Objective Questions.
Click the link below after the 50 questions to view your solution. The v...
Latest courses
3-tag:Courses-65px
Copyright ©
2020
NAIRAFAME
.
Designed by
Blogger Templates
,
Riviera Maya
&
爱西班牙语
No comments:
Post a Comment